Our footy tipping "competition" actually consists of three separate competitions:
You may play all or any of these each week - they are completely separate.
The probabilistic competition involves the tipper entering the probability (between 0 and 1) that they believe a team will win the match. It is sometimes also referred to as the information theoretic or info competition. The father of information theory was Claude Shannon.
In a traditional tipping competition, the tipper is forced to choose one team as the outright winner. However the tipper still believes that the other team does have some chance, just not as much as the team they chose. (In closely matched games, you may even think it will be a draw.) Choosing a probability allows the tipper to express their uncertainty or confidence level in the outcome.
It can be simply proven that the highest expected score can be achieved by tipping the true probability. (Even though the true probability is never known.)
The scoring system works as follows: If the tipper assigns probability p to team A winning, then the score (in "bits") gained is:
From the above we can see that the maximum gain of 1.0 is obtained by tipping 1.0 on the winning team. This however is very risky as maximum loss of -Infinity is achieved by tipping 1.0 on the losing team.
The scoring is not symmetrical and can be very non-intuitive for the beginner. The table below gives example tips and the scores (in bits) you would receive if your team won and if your team lost. Note that p values less than 0.5 are equivalent to tipping the other team with 1.0-p. Also, p=0.5 is equivalent to sitting on the fence - you neither gain nor lose any bits.
| p | Score if win | Score if lost | Score if draw |
|---|---|---|---|
| 1.00000 | +1.000 | -Infinity | -Infinity |
| 0.95000 | +0.926 | -3.322 | -1.198 |
| 0.90000 | +0.848 | -2.322 | -0.737 |
| 0.85000 | +0.766 | -1.737 | -0.486 |
| 0.80000 | +0.678 | -1.322 | -0.322 |
| 0.75000 | +0.585 | -1.000 | -0.208 |
| 0.70000 | +0.485 | -0.737 | -0.126 |
| 0.65000 | +0.379 | -0.515 | -0.068 |
| 0.60000 | +0.263 | -0.322 | -0.029 |
| 0.55000 | +0.138 | -0.152 | -0.007 |
| 0.50000 | +0.000 | +0.000 | +0.000 |
If there is a draw, the average of the win and loss scores are taken:
This is an upside-down "U" shaped function, which is negative for every value of p except for p=0.5. If you think a draw will occur you should tip 0.5. If correct, your reward is to lose no bits; everyone who tipped otherwise will lose bits.
Certain trends in your tipping can be measured, such as boldness, calibration and trust.
See also the Normal and Gaussian competitions.
This competition is the similar to those played throughout Australia. It is sometimes also referred to as the traditional or standard competition. Tippers must choose the winning team and the number of points they think that team will win by (the "margin").
Tippers receive points for tipping the winning team plus bonus points depending on how close the tipped margin was to the actual margin.
| Team tipped | Points |
|---|---|
| Winner | 10 |
| Loser | 0 |
| Draw | 0 |
The bonus points work as follows: Let A be the actual margin and Y be the margin you tipped. Then |A-Y| is the absolute value (ie. ignore the negative sign) of the difference between your margin and the actual margin. Note that even if you tip the losing team you are still in the running for bonus points. ie. your margin is really a just a negative value:
| |A-Y| | Bonus points |
|---|---|
| 0 | 6 |
| 1..6 | 5 |
| 7..12 | 4 |
| 13..18 | 3 |
| 19..24 | 2 |
| 25..30 | 1 |
| 31 or more | 0 |
See also the Probabilistic and Gaussian competitions.
The Gaussian competition involves the tipper nominating a winning margin and a standard deviation.
The standard deviation allows the tipper to express his or her confidence in their choice of margin. The smaller the standard deviation, the more points you will get if the true margin is close to your one, but if it is too far out, you will receive a large negative score.
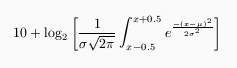
The tipper is rewarded with a constant plus the logarithm of the probability they assigned to the winning margin (denoted x below) in a manner similar to the Probabilistic competition. The formula for the game score in bits is (R code):
9 + log2(pnorm(x+0.5, mu, std) - pnorm(x-0.5, mu, std))
(Note, in August 2018, a mistake was noticed with the old formula that was here using 10+... instead of 9+... For reference the old formula is here : incorrect formula)
In this competition the accuracy of prediction of winning margin is important. The standard deviation proves to be difficult to estimate accurately; experience has shown that a value around 40 is a good place to start.
See also the Normal and Probabilistic competitions.
|
|
©
Faculty of Information Technology,
Monash University.
Web site originally designed and developed by David Powell and Torsten Seemann. Please direct queries to monash.footy@gmail.com. Safe Content Rating. |